Ifa Transform: ToE Transform
The Universe of Transforms
The Ifa Transform is the container and fundamental building block of all transforms/transformations, processes, operations, actions, functions/funtors in Mathematics, Physics, and all other fields.
These are generally called Amulu in Ifa Language.
Also known as ToE Transform, IfaTransform is based on the 16 Ifa Axioms and IFABit, unifying all fields of knowledge via a holistic and interdisciplinary approach.


IfaDifferintegral: The World of Differintegrals
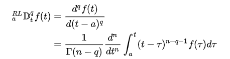
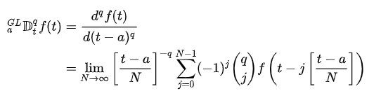
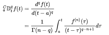
Ifa Differintegral uses Energy (Ogbe) to unify and integrate all kinds of differintegrals in mathematical analysis, especially fractional calculus, including the Riemann–Liouville differintegral, the Grunwald–Letnikov differintegral, the Weyl differintegral, the Caputo differintegral, and others.




Unlock the Power of Ifa Transform
The core Principles of Ifa Transform, also known as ToE Transform, CEN Transform, Energy Transform, or the Transform for Everything (TransformoE).

Universal Transform
A meta-structure for studying transformations, operations, and processes across all fields and disciplines.
Holistic Integration
Bringing science and non-science fields together in a unified framework called IFA or the TOE.
Knowledge Framework
A foundation based on the 16 Ifa Axioms for universal understanding.
Ifa Transformer
IfaTransformer is a Tool for modelling, simulation, mapping, and other unification and integration operations on the IFA Internet. Ifa-Transformer is also known as CEN Transformer, Energy Transformer, or ToE Transformer.
Interdisciplinary Reach
Connecting all fields through Energy-based mathematical processes.

Unlock Universal Insights
Explore foundational resources that bridge disciplines and deepen knowledge.
Ifa Axioms
Dive into the 16 Ifa Axioms that underpin transformative frameworks.
IFABit Framework
Unpack the IFABit system and its role in unified transformations.
Transformations Overview
Gain a holistic understanding of transformative processes across fields.
Ifa Operator Theory: The Theory of Operators in Ifa
Ifa is a General Language to study and model everything using mathematical methods. Such studies and modelling require the use of Operators of Everything (OperatoE), also known as Ifa Operators, ToE Operators, or Energy Operators.


This is the Theory of Operators in the Odu Ifa, where everything, including operators, is seen as mathematical energyforms.

Ifa Operator Theory generalizes operator theory in functional analysis in Mathematics, to all fields of knowledge.
Operator theory is a major branch of functional analysis (mathematical analysis) focusing on the study of bounded and unbounded linear operators acting on topological vector spaces, such as Hilbert or Banach spaces.
It generalizes linear algebra to infinite-dimensional spaces, with key applications in quantum mechanics, differential equations, and engineering.
Understanding Operators and Operations
In mathematics, an operator is a rule or transformation that acts on something (usually numbers, functions, or objects) to produce another result. Think of an operator as an action that transforms input into output.
1. Basic idea of an operator
An operator takes an input and performs an operation.
Example:
- 3 + 5 = 8
Here:
- Inputs: 3 and 5
- Operator: +
- Output: 8
The symbol + is the operator.
So,
Operator = rule that transforms input into output
2. Operators in elementary arithmetic
These are the most familiar operators: addition (+), subtraction (-), multiplication (X), and division (/).
3. Operators as functions
An operator can be viewed as a special type of function.
Example:

Here, T is an operator that increases any number by 1.
In computing, operators are fundamentally functions that transform, map, or combine data, acting as shorthand for operations like arithmetic (+, -, X, /), comparison (<, >, ==), or logic (AND, OR).
4. Unary vs Binary operators
Unary operator (one input)
Example:
-5
Operator: inverse
Input: 5
Output: −5
Binary operator (two inputs)
Example:
3 + 4
Operator: +
Inputs: 3 and 4
Output: 7
5. Operators in algebra
Example operator:

This operator doubles the number.
6. Operators in advanced mathematics
Operators can act on functions.
Example: derivative operator

Here, differentiation is an operator.
7. Operators in linear algebra
Example:

This operator scales the vector.
8. Operators in physics
Operators represent physical quantities.
Examples:
- Momentum operator
- Energy operator
- Hamiltonian operator
These act on wavefunctions.
9. Operators in computer science
Examples:
Arithmetic operators:
- +
- –
- x
- /
Logical operators:
- AND
- OR
- NOT
Comparison operators:
- ==
- <
- >
10. Abstract definition (formal)
An operator is a mapping:

that transforms elements of one space into another.
Operation
An operation in mathematics is a process that combines or transforms one or more objects to produce a result.
It is the action, while the operator is the symbol or rule that performs the action.
1. Simple definition
Operation = the process of transforming inputs into an output
Example:
3 + 5 = 8
- Operation: addition
- Operator: +
- Result: 8
Addition is the operation. The symbol + is the operator.
2. Difference between operation and operator
- Operator → the symbol or rule
- Operation → the action or process itself
Example:
7 x 4 = 28
- Operator: x
- Operation: multiplication
- Result: 28
Think:
- Operator = tool
- Operation = using the tool
3. Basic arithmetic operations
These are the fundamental operations of addition, subtraction, multiplication, and division.
4. Operations can involve one or more inputs
Examples are unary operation (one input) and binary operation (two inputs)
5. Formal definition (important)
An operation is a function:

This means it takes elements from sets A and B and produces an element in C.
Example:

Addition takes two real numbers and produces a real number.
6. Operations in algebra
Examples:

These are algebraic operations.
7. Operations in advanced mathematics
Examples include:
- Differentiation
- Integration
- Matrix multiplication
- Vector addition
Example:

Differentiation is an operation.
8. Operations in sets
Set operations include:

9. Operations in computer science
Arithmetic operations:
- +
- –
- x
- /
Logical operations:
- AND
- OR
- NOT
Comparison operations:
- <
- >
- ==
10. Operations as transformations
An operation transforms inputs into outputs:

Example:
4 x 5 = 20
11. Abstract view
Operation = transformation rule on elements of a set.
If:

Then operation:

Introduction to Operator theory
Operator theory is a branch of functional analysis that studies operators acting on spaces of functions or vectors, especially infinite-dimensional spaces.
It provides the mathematical foundation for quantum mechanics, differential equations, signal processing, and modern physics.
1. Core idea of operator theory
Operator theory studies mappings of the form:

where:
- X is a vector space (often infinite-dimensional)
- T is an operator that transforms elements of that space
Example:

This operator transforms one function into another function.
2. What is an operator (formal definition)
An operator is a function between vector spaces:

where:
- V, W are vector spaces
- T transforms vectors or functions
If V = W, it is called an operator on V.
3. Linear operators (most important class)
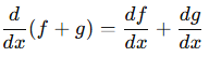
A linear operator satisfies two properties:
Additivity

Homogeneity

for scalar .
.
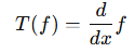
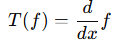
Example: derivative operator

Check:

So differentiation is a linear operator.
4. Examples of operators
(A) Matrix operators
Matrix acting on vector:

Example:

This operator scales vectors.
(B) Differential operators
Example:

Transforms:

(C) Integral operators
Example:

Transforms function into another function.
(D) Multiplication operators

5. Function spaces (where operators act)
Operator theory studies operators on spaces like:

These spaces may be infinite-dimensional.
6. Hilbert space (central object)
A Hilbert space is a vector space with inner product.
Example:

Space of square-integrable functions.
Operators act on these spaces.
7. Important types of operators
Bounded operators
Operator with finite size:

These are stable operators.
Unbounded operators
Example:

Derivative can grow large.
These appear in quantum mechanics.
Self-adjoint operators
Very important in physics.

These represent physical observables like energy.
Compact operators
Similar to finite-dimensional operators.
Very important in spectral theory.
8. Spectrum of an operator
Generalizes eigenvalues.
Definition:
Spectrum = values ( \lambda ) such that

is not invertible.
This generalizes matrix eigenvalues.
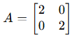
Example:
Matrix:

Spectrum:

9. Eigenvalues and eigenvectors
If:

then:
- (x) = eigenvector
- λ = eigenvalue
Meaning operator only scales vector.
10. Central problems in operator theory
Operator theory studies:
- eigenvalues
- spectrum
- invertibility
- stability
- structure of operators
11. Operator algebra
Operators can be added and multiplied:
Addition:

Composition:

Operators form algebraic systems. Formally, if a collection of operators produces an algebra over a field, then it is known as an operator algebra.
12. Operator theory in quantum mechanics
Physical quantities are operators.
Examples:
Position operator:

Momentum operator:

Energy operator (Hamiltonian):

State of system = wavefunction
Operator acting gives observable values.
13. Spectral theory (major branch)
Studies decomposition:

This explains:
- quantum energy levels
- vibrations
- waves
14. Finite vs infinite dimensional operator theory
Finite dimensional:
- matrices
Infinite dimensional:
- differential operators
- integral operators
Infinite case is more complex.
15. Applications
Operator theory is used in:
Physics
- quantum mechanics
- wave equations
Engineering
- signal processing
- control theory
Mathematics
- differential equations
- functional analysis
AI and computing
- transformations
- kernels
Plus-or-Minus Operator
The plus-or-minus operator is the symbol:
±
It means “both addition and subtraction are possible.” It represents two possible values in a single expression. ➕➖
1. Primary name
plus–minus sign
Meaning: indicates two alternatives: one with plus, one with minus.
Example:

2. Alternative names
The plus-or-minus operator is also called:
Common names
- Plus–minus sign
- Plus-minus symbol
- Plus-or-minus sign
- Plus/minus sign
Technical/formal names
- Dual sign
- Bifurcation sign
- Ambiguous sign operator
- Sign pair operator
Physics and engineering names
- Uncertainty symbol
- Error margin symbol
- Tolerance symbol
Example:

means value is between:
9.5 and 10.5
3. Related symbol: minus-plus sign
∓
Called:
- Minus–plus sign
It is the reverse of ±.
Used in paired expressions:

ensures opposite signs.
4. Use in algebra (quadratic formula)

This represents two solutions.
5. Use in physics (uncertainty)

Represents measurement uncertainty.
6. Use in engineering (tolerance)

7. Logical meaning

It represents two possible values.
8. Operator interpretation
As an operator, ± is a multi-valued operator:

It generates two symmetric outputs.
Ifa Operations: The Operations of Everything (OpoE)
Ifa Operations, ToE Operations, is the world of operations in the IFA Body of Knowledge, where operations in all fields are studied as mathematical energyforms.
In the IFABOK, the term ‘Ifa’ has different meanings, such as ‘the universe of’, ‘the container and fundamental building block of’, etc.

Formal Definition of Ifa Operator
An Ifa operator is a meta-map:

that transforms elements of one field or system (expressed in IfaLang as energyform) into another.
This meta-map, known as an Ifa map, is any map expressed as an energyform in IfaLang.
Ifa Operator Theory is a key subject of Ifa Analysis.


Unionsection is an Ifa composition (Amulu) operator.
Tons of Ifa composition/entanglement operators are formed this way by performing amulu computation on any operator, combining the operator with its dual:






Any operator X composed with its dual X’ is represented as:

Meaning any operator expressed as an energyform in IfaLang with Ifa Infinity

Used as its subscript implies that operator composed/entangled with its dual.
Examples:

Generally, all possible and impossible operators are given by the Ifa Pair:

Some Key Elements of IfaLang:
- Ifa Operators: All Possible and Impossible Operators
- Ifa Numbers: All Possible and Impossible Numbers
- Ifa Algebras: All Possible and Impossible Algebras
- etc., generalized to the Ifa Pair:

Ifa Operators are universal meta-operators that encode the Energies (Consciousnesses) of all operators in Mathematics and other fields.

The Plus-and-Minus Operator
In everyday language, two or more entities can have a logical relation of OR, AND, and both at the same time (AND/OR).
This ANDOR relation is what is known as the unionsection symbol in Ifa Mechanics (Consciousness Mechanics), a variant of the plus-and-minus operator.
1. Basic Arithmetrics
Plus-and-minus operator:

Its dual, minus-and-plus operator:


2. The Amulu Matrix
The Amulu operators are key tools of the IFA Internet for studying and modelling everything as mathematical energyforms.
They are highly essential meta-notations for Ifa Computing (Energy Computing):

3. IfaTernary Logic
Ifa Logic is the universe of all systems, theories, and models of logic in sciences and non-sciences.
Its dual is Orisa Logic. Examples of Orisa-Logic are Esu Logic, Osun Logic, Ogun Logic, Oya Logic, and others.
The Binary Logics of Ifa are the 16 Eji-Odu (Binary Ifa Code), the Ifa Laws of Nature governing all fields:

Binary logic is a system representing two states—true/1/on and false/0/off—that forms the foundation of all digital electronics and computing.
It uses Boolean algebra (AND, OR, NOT) to process data via logic gates, translating input signals into specific outputs. This binary, or base-two, system is essential for hardware design, data representation, and digital logic circuits.
Ternary logic, or 3-valued logic (3VL), is a system with three truth values—typically True, False, and Unknown/Null—rather than the two (True/False) in binary.
It offers higher data density, requiring ~58.5% fewer bits than binary to represent the same value, and can simplify circuit complexity and arithmetic.
In IfaComputing, ANDOR is the ternary logic/unionsection operator.

A good example of OrisaLogic is Oritameta Esu-Logic, an AGI governance framework developed by the Think Advancement Initiative Empowerment Foundation (TAIEF) utilizing balanced ternary logic (+1, 0, -1).


4. Energy Computing: Ifa Annihilation and Ifa Creation
In Particle Physics, annihilation is a process in which a particle and its corresponding antiparticle collide and are converted into pure energy or other particles. Its dual is the creation operation.

Examples are electron–positron annihilation, proton-antiproton annihilation, neutron-antineutron annihilation, and others.
Why This Happens
This follows directly from:

Mass is a form of energy, so when matter and antimatter meet, their mass converts into energy.
This is a manifestation of:
- Conservation of energy
- Conservation of momentum
- Conservation of charge
The total charge before and after remains zero.
What Is an Antiparticle?
Every particle has an antiparticle with:
- Same mass
- Opposite charge
- Opposite quantum numbers
Examples:
| Particle | Antiparticle |
|---|---|
| Electron | Positron |
| Proton | Antiproton |
| Neutron | Antineutron |
Field Theory Interpretation (Deep Level)
In quantum field theory (QFT):
- Particles are excitations of fields.
- Antiparticles are opposite excitations.
- Annihilation is when opposite excitations cancel.
Mathematically:

The excitation disappears but energy remains.
This demonstrates the deep principle of Ifa:
Matter is not permanent — it is a temporary form of energy (energyform).
In QFT, the annihilation operator and creation operator are the fundamental mathematical tools that describe how particles appear and disappear as excitations of quantum fields.
They formalize the deep idea:
Particles are not permanent objects — they are excitations that can be created and destroyed.
In QFT, fields are fundamental, particles are excitations
In QFT:
- Every type of particle corresponds to a quantum field.
- A particle is a quantized excitation (a discrete unit of energy) of that field.
For example:
- The Electron is an excitation of the electron field
- The Photon is an excitation of the electromagnetic field
The creation and annihilation operators control these excitations.
Two fundamental operators exist in QFT:
Creation Operator

Pronounced: “a dagger”
Function: Creates one particle.

Meaning:
If there are (n) particles, it produces (n+1).
Annihilation Operator
a
Function: Destroys one particle.

Meaning:
If there are (n) particles, it reduces to (n-1).
Vacuum State
The vacuum state is written:

This is not “nothing.”
It means:
- No particles present
- But the field still exists
In IfaMechanics (Consciousness Mechanics), O represents Obirikiti, Ogbe (doubly infinite Energy), Vacuum Energy, or Ifa Infinity:



Creation operator acting on vacuum:

This creates one particle.
Annihilation operator acting on vacuum:

Nothing can be removed.
Ladder Operator Structure
They are called ladder operators because they move up and down particle number levels:

Creation → move up
Annihilation → move down
Introducing Ifannihilation and IfaCreation Operators
Ifa Annihilation is annihilation process expressed as an energyform or energystate using Ifa operators like the plus-and-minus operator and others, generalizing this annihilation process in Physics to all fields of knowledge to compute their energies (field energies).
Its dual is Ifa Creation, which is the creation process in IfaLang.




5. Ifa Particle Physics: General Symbol of Oniums
Ifa particles are any particles expressed as a form of the Energy called Ogbe. They are studied formally in Ifaparticle Physics, particle-theoretic approach to the UIoE.

Onium refers to a class of bound states made of a particle and its antiparticle.
General form:

These systems are analogous to atoms, but instead of a nucleus and electron, they consist of mutually orbiting particle–antiparticle pairs.
Origin of the Name
The word “onium” comes from the element name suffix “-onium,” used because these systems behave like atom-like objects.
The simplest and most famous example is positronium.
Main Examples of Onium Systems
A. Positronium (e⁻ e⁺)
Bound state of:
- Electron
- Positron
Properties:
- Lightest onium system
- Bound by electromagnetic force
- Lifetime: very short
- Annihilates into Photon
Symbol:

B. Charmonium (c c̄)
Bound state of:
- Charm quark
- Anti-charm quark
Example:
- J/ψ meson
Discovered in 1974.
Very important in confirming quark theory.
C. Bottomonium (b b̄)
Bound state of:
- Bottom quark
- Anti-bottom quark
Example:
- Upsilon meson
Heavier than charmonium.
D. True Muonium (μ⁺ μ⁻)
Bound state of:
- Muon
- Anti-muon
Particles involved:
- Muon
- Antimuon
This system is predicted and partially studied experimentally.
E. Quarkonium
This is an onium system made of a quark and its antiquark, such as:
- J/ψ meson = charm + anticharm
- Upsilon meson = bottom + antibottom
Unlike positronium (which uses electromagnetism), quarkonium is governed by the strong interaction, mediated by the Gluon.
Why Onium Systems Are Extremely Important
They provide clean systems for testing:
- Quantum Electrodynamics (QED)
- Quantum Chromodynamics (QCD)
- Quantum Field Theory
- Creation and annihilation operators
Because:
- They are simple
- Well-defined bound states
- Precisely measurable
QFT Operator Representation
General onium state:

Annihilation:

Classification Table
| Onium | Components | Force |
|---|---|---|
| Positronium | e⁻ e⁺ | Electromagnetic |
| Muonium | μ⁺ e⁻ | Electromagnetic |
| True muonium | μ⁺ μ⁻ | Electromagnetic |
| Charmonium | c c̄ | Strong |
| Bottomonium | b b̄ | Strong |
Deep Conceptual Meaning
Onium represents:
- Matter bound to antimatter
- Temporary stable excitation of fields
- Pure energy in structured form
Eventually:

Connection to the Standard Model
Onium systems probe fundamental interactions:
- Positronium → electromagnetic interaction
- Charmonium → strong interaction
- Bottomonium → strong interaction
They are among the most precise experimental tests of quantum field theory.
IfaSymbol: The Most General Symbol
Currently, there is no general and universal symbol for an onium system, but there is a standard general notation used in particle physics.
The general symbol is:

This represents a particle–antiparticle bound state.
Examples:

The Ifa Symbol, Ifa Infinity, is used as the Symbol of Everything (SymboE) that serves as the most general and universal symbol for all kinds of particles, including oniums:

6. Modeling Interdisciplinary Forces
IfaTernary operators are used to study and model interdisciplinary forces (interactions/exchanges among/between disciplines, fields) in interdisciplinary research (IDR).
These forces include intradisciplinary, multidisciplinary, crossdisciplinary, and transdisciplinary forces, with knowledge unification and integration (KUI) the key aim of the modeling, among other purposes.

These forces exist among all fields of knowledge, just like in physical sciences, there are intermolecular forces — attractive forces between neighboring molecules, atoms, or ions, determining physical properties like boiling points, melting points, and phase (solid, liquid, gas).
The Ifa Transformation Theory
Also called the Temic Transformation Theory, this meta-theory of Consciousness Mechanics (Ifa Mechanics) states that all fields and disciplines of knowledge generally involve studying the single System, Energy, Ogbe, or CEN — the BaseField.
In other words, all kinds of knowledge are energyforms, forms of Energy, or energystates, states of Energy.

When disciplines or fields are seen this way and modelled as mathematical energyforms in the Ifagrams, the disciplines or fields are Energy transformations (transformations of energyforms or energystates).

Therefore, all kinds of knowledge, disciplines, and fields are Energy transformations.
At the most fundamental level, all the fields and disciplines are actually the same, which is Energy or Ogbe, and the disciplinary boundaries in modern schools and education systems are artificial, not an inherent property of knowledge or nature.
This is the Ifa Transformation Theory and is of paramount importance in developing the Grand Unified Theory (GUT) of any discipline or field, be it Physics, Mathematics, Finance, Psychology, Arts, any discipline at all, and consequently constructing the TOE, i.e., the IFA Internet.
Ifa Transformation Theory is a more general form of Dirac transformation theory in Quantum Mechanics. Also known as Dirac-Jordan transformation theory, Dirac transformation theory was developed independently by Paul Dirac and Pascual Jordan around 1927.

It is a foundational framework in Quantum Mechanics that unifies Schrödinger’s wave mechanics and Heisenberg’s matrix mechanics into a single, cohesive theory.
It describes quantum states as vectors in Hilbert space and interprets physical processes as transformations (rotations) of these vectors.
While Dirac-Jordan transformation theory unifies Schrödinger’s wave mechanics and Heisenberg’s matrix mechanics into a single, cohesive theory, Ifa Transformation Theory unifies all fields of knowledge into a single, cohesive Framework called the IFA Internet (the TOE) or the Base Field, Energy.
The Principle of Ifa Superposition
At the deepest level, any field (or anything at all) exists doubly infinitely in a superposition or combination of all possible and impossible energyforms or energystates, unless when observed/experienced, which forces its wave function to collapse to a specific energyform or specific energystate (state of consciousness-energy) that is measured/seen/studied.
This is the Ifa Superposition Principle.


In other words, everything is Consciousness and Energy (CEN) at their core, existing in a combination of doubly infinite states or forms simultaneously until when it is observed, which forces its consciousness wave (conwave) function to collapse to a specific form that is seen.
Redefining the TOE Using Ifa’s All-Encompassing Approaches
A Theory of Everything should be able to explain just what its name suggests — everything.
It should be able to provide the fundamental theory explaining Physics, Mathematics, Chemistry, Biology, Arts, Philosophy, Economics, Sociology, Religious Studies … any field, discipline, or body of knowledge.
If it cannot do this, then it is at best a Grand Unified Theory (GUT), not the Theory of Everything.
- It must be able to explain everything (all kinds of knowledge, fields, and disciplines): This implies it must be able to model the Whole of Existence
- It must provide the fundamental or underlying structure of Existence as a whole
- It must provide the fundamental theory or underlying structure of all kinds of knowledge, fields, and disciplines
- It must provide deep, concrete answers to the following fundamental questions:
- What is the source or origin of consciousness and Existence (the Multiverses)?
- What is the objective and subjective nature of consciousness?
- What is the ultimate nature of reality?
- What is the ultimate fate of the Universe or any universe?
Any theory that meets all these criteria can be regarded as The Theory of Everything.
However, if the theory only satisfies some of the conditions, it is a TOE or a GUT at best, not the TOE.
Apparently, answering these fundamental questions lies beyond the scope of Physics as the field is known at the moment.
Hence, in the Ifa paradigm, a set of interdisciplinary, intradisciplinary, transdisciplinary, multidisciplinary, and crossdisciplinary approaches is adopted in Consciousness Science, especially Consciousness Mechanics, as the universal constructor for developing the TOE, harmonizing and standardizing all fields and disciplines using Energy as the Basis or Interface.
Consciousness-Energy, or simply Energy, is fundamental to all the four fundamental forces of nature in Physics (only Energy is fundamental to the Base Reality; all other forces and aspects of Nature are emergent; i.e., they emerged from Energy and are therefore, energyforms or energystates).
Field-Independent Language (FIL) and Language-Independent Field (LIF)
In addition to the foregoing, the real TOE must be a General, Universal, Deep, and Fundamental Meta-Language that is field agnostic or independent, meaning its Principles lie at the foundations of all fields of knowledge, not only Physics or the sciences.
This TOE Property is known as Field-Independent Language.
Conversely, the real TOE must be a General, Universal, Deep, and Fundamental Meta-Field (the BaseField) that is language agnostic or independent, meaning its Principles underlie all kinds of languages, including human languages, formal languages in Mathematics and Logic, programming languages, etc.
This TOE Property is called Language-Independent Field, the dual of FIL.
IfaLang satisfies these criteria by ensuring all fields ‘talk’ to one another using a common Standard or Interface, the Language of Energy (LoE).

Therefore, it helps solve the problem of barriers (such as language barriers, disciplinary barriers, cultural barriers, etc.) in global/international academia, industry, and all fields of knowledge, enabling the deeper internetworking of disconnected fields of knowledge and facilitating interdisciplinary collaborations.
It was the same way the International Electrotechnical Commission (IEC) created power switch notation as a universal symbol to solve the problem of language barriers in international electronics.
Discover the Transformational Universe
ToE Transforms are Ifa Structures, also called the Structures of Everything (StructoE). Ifa Composition (Amulu) and its dual, Ifa Partition (Ipin), are key Ifa Transforms used to describe changes of Energy (CEN) from one form or state to another.
